首頁
Index
營造&裝潢資訊
工程資訊
聯合商業資訊
最新消息
廠商合格認證
產品管理
宅電通商城平台
宅電通購物商城資訊連結
代理商品
代理商品
關於宅電通
關於宅電通
聯絡我們
聯絡我們
會員
會員
首頁
Index
營造&裝潢資訊
工程資訊
全部
宅電通數位科技企業社
子帳號1
聯合商業資訊
最新消息
全部
最新公告
優惠活動
廠商合格認證
產品管理
商品認證
經銷商品
認證證書
宅電通商城平台
宅電通購物商城資訊連結
代理商品
代理商品
目前促銷
高CP網站
好用系統
關於宅電通
關於宅電通
公司介紹
藥商許可
商標專利
國際認證 International Certification
聯絡我們
聯絡我們
關閉
Tel :
065931509
Fax : 065931469
chai.tien.tung@gmail.com
填表諮詢
工程資訊
首頁
營造&裝潢資訊
全部
填表諮詢
請詳細填寫以下表單並清楚告訴我們訴求,當本公司收到這封信時,我們會盡快回覆您。
(*)必填
*
姓名
*
手機
E-mail
*
內容
*
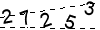
驗證碼
(
更換
)
確認送出
FB
TOP
FB
選單
TOP